Транзитивное замыкание отношения
Способ задать транзитивное замыкание №1
Пересечём все транзитивные надмножества
Способ задать транзитивное замыкание №2
Композиция отношений

Вернёмся к:
- транзитивное - это очевидно если задуматься над самокомпозицией отношения и тем что она делает с транзитивными фрагментами отношения:
, - транзитивно
Булевы функции
Таблица истинности
| 0 | 0 | 0 | 0 | 0 | 1 | 1 | 1 | 0 | 0 | 1 |
| 0 | 1 | 1 | 1 | 0 | 0 | 1 | 1 | 0 | 1 | 0 |
| 1 | 0 | 1 | 1 | 0 | 0 | 1 | 0 | 1 | 0 | 1 |
| 1 | 1 | 0 | 1 | 1 | 0 | 0 | 1 | 1 | 1 | 1 |
| 0 | 0 | 0 | 0 |
| 0 | 0 | 1 | 0 |
| 0 | 1 | 0 | 0 |
| 0 | 1 | 1 | 1 |
| 1 | 0 | 0 | 0 |
| 1 | 0 | 1 | 1 |
| 1 | 1 | 0 | 1 |
| 1 | 1 | 1 | 1 |
Формулы
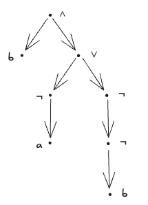
Синтаксическое дерево разбора

Выведение совершенной коньюктивной нормальной формы
| x | y | |
|---|---|---|
| 0 | 0 | 0 |
| 0 | 1 | 1 |
| 1 | 0 | 1 |
| 1 | 1 | 0 |
| 1 | 1 | 0 |