Идея д-ва ОТА



есть корень

"Дама с собачкой"


image


Уменьшаем

Следствие

Многочлен над имеет ровно корней с учётом кратности




Следствие 1


делится на

Следствие 2

Над полем любой многочлен раскладывается на линейные сомножители, а над , он раскладывается на линейные и квадратичные с отрицательным дискриминантом


Область целостности (целостное кольцо)

- Коммутативное, ассоциативное кольцо с без делителей

прим. автора продаунгрейженое поле

если существует

ассоциирован и

Пример:

Пример:

- многочлены над полем


Евклидово кольцо

Область целостности которая не поле - Евклидово кольцо, если существует такая функция норма, удовлетворяющая условиям

  1. , причем - обратимый эл.
  2. , что и либо , либо

Примеры:

- Гауссовы целые числа


Гауссовы целые числа



- обратимые image


возьмём к нему ближайшее Гауссово целое число

image




- остаток, - неполное частное


Введём НОД

целостное кольцо НОД общий делитель, который делится на все остальные общие делители

Пример:

Вещественные многочлены без лин. члена

НОДнесуществует общие делители уи

Теорема

В Евклидовом кольце НОД (Линейное представление НОДа)

Доказательство:

НОД




Утверждается, что последний ненулевой остаток - НОД

- общий делитель и




Простой элемент целостного кольца

Ненулевой необратимый элемент целостного кольца называется простым если его нельзя представить в виде:

простыеэлты - составное

Пример:

- неприводимые многочлены

линейные - точно неприводимы

только линейные

линейные и квадратичные с отрицательным

- не простые в

Лемма

Если Евклкольца делит он делит хотя бы одно

Доказательство:


НОД

шаг индукции


Аналог ОТА

Любой необратимый ненулевой элемент Евклидового Кольца может быть разложен на простые сомножители, причём это разложение единственно с точностью до порядка сомножителей и умножения на обратимые

Пример:

обрнеобр

Доказательство:

Пусть это не так: среди всех элементов Евкл. кольца, для которых это не так , выберем какой-нибудь с наименьшей нормой - элемент

  1. - простой; разлож. состав. из него самого Противоречие
  2. - составной

    Противоречие - сами раскладываются в такое произведение простых
    Единств
    простойМожносократить

любое Евклидово кольцо факториально ( факториальности следует из теоремы)

Пример нарушения факториальности:

составное

простое

нарушение единственности разложения точно не факториальное кольцо

Теорема

НОДНОК

Доказательство:

НОДНОК

Теорема

Простых чисел бесконечно много:

Следствие

Над любым полем бесконечно много неприводимых многочленов


Кольцо Матриц


- кольцо Матрица индексов Конечные матрицы строк строк. квадратная матрица - матрицы размера над

Введём


(Сложение матриц) Введём

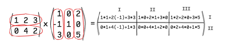
"строка на столбец"

Пример матричного умножения:

image




Теорема

  1. - кольцо квадратных матриц
  2. - ассоц. - ассоц.
  3. - кольцо с с единицей
Доказательство:
  1. Кольцо
    1. По сложению абелева группа
    2. Дистрибутивность



  2. Ассоциативность


    1. С точностью до перестановки - равны

Умножение бесконечных матриц не ассоциативно


- главная диагональ

не коммутативно (даже если коммутативно)

Пример:

В есть делители нуля (даже если их не было в )

не всегда имеет решение, если (даже если поле)

Пример:

необр

Транспонирование


Пример:



Транспонирование квадратных матриц - антиавтоморфизм

Автор конспекта: Худалла А.Б.